Modified trade route calculations
Gábor Auth
We've modified the trade route calculations:
- base value equals the average of the trade values of connecting cities
- is doubled if the cities are from different civilizations
- is doubled if the route is established by Freight unit
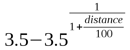
- is multiplied by the distance bonus:

Every trade route lasts for 48 hours, providing the initiator city with the value calculated as above in every hour. The player who initiates the trade route gets six times the value of the trade route multiplied by the set percentage rates of science and tax of the initiator city (which will be added to the science points and the treasury, respectively).